MICOM output for NOI20C_sr10m60d52, yrs557to633


and NOI20C_sr10m60d52 yrs634to697
MICOM Diagnostics Package, Wed Oct 31 17:28:43 CET 2018

Time series plots

Section transports

Barents opening Bering strait Canadian archipelago Denmark strait Drake passage
Barents opening Bering strait Canadian archipelago Denmark strait Drake passage
English channel Equatorial undercurrent Faroe Scotland channel Florida Bahamas Fram strait
English channel Equatorial undercurrent Faroe Scotland channel Florida Bahamas Fram strait
Iceland Faroe channel Indonesian throughflow Mozambique channel Taiwan and Luzon straits Windward passage
Iceland Faroe channel Indonesian throughflow Mozambique channel Taiwan and Luzon straits Windward passage

Global averages

Temperature Salinity
Temperature Salinity

Maximum AMOC

26.5N 45N 20N-60N
26.5N 45N 20N-60N

Hovmöller plots

Temperature Salinity
Relative to start of simulation Temperature Salinity
Relative to WOA13 climatology Temperature Salinity

ENSO indices [?]

NINO 3 NINO 3.4
NINO 3 NINO 3.4



Climatology plots

2D fields - annual means
Sea surface height 0m
Temperature 0m 50m 100m 250m
0m 50m 100m 250m
500m 1000m 2000m 3000m 4000m
500m 1000m 2000m 3000m 4000m
Salinity 0m 50m 100m 250m
0m 50m 100m 250m
500m 1000m 2000m 3000m 4000m
500m 1000m 2000m 3000m 4000m

Horizontal fields - seasonal/monthly means

MLD Jan Feb Mar Apr May Jun
Jan Feb Mar Apr May Jun
Jul Aug Sep Oct Nov Dec Ann
Jul Aug Sep Oct Nov Dec Ann
SST JFM AMJ JAS OND
JFM AMJ JAS OND
SSS JFM AMJ JAS OND
JFM AMJ JAS OND

Overturning circulation

Atlantic Indian-Pacific Global

Zonal-means (lat-depth)

Temp. Global Atlantic Pacific Indian Southern
Global Atlantic Pacific Indian Sothern
Saln. Global Atlantic Pacific Indian Southern
Global Atlantic Pacific Indian Sothern

Equatorial cross sections

Temperature Salinity
Temperature Salinity

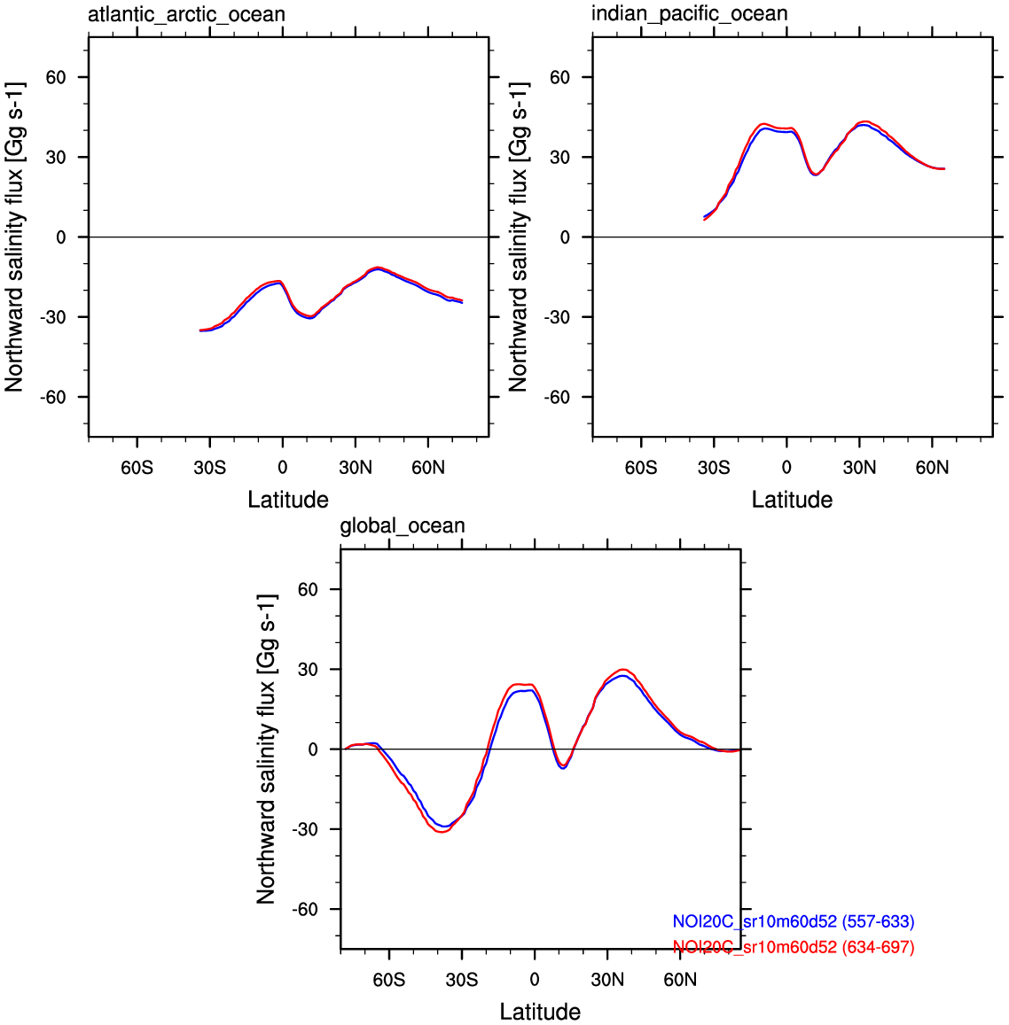
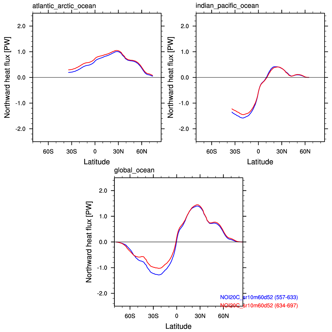
Meridional fluxes (vertically integrated)

Heat Salinity
Heat Salinity